
Hallo zusammen, ich bin Paul, willkommen zu Pauls skurrilen Aussagen. Wenn Sie denken, dass Pauls Ansichten Ihnen helfen, können Sie mir folgen. Tägliche Blockchain-Technologieansichten werden kontinuierlich bereitgestellt!
1. Was ist Alpha?
Wenn es um das Wort Alpha geht, ist Paul ziemlich vertraut, da er vor seinem Eintritt in die Szene bei einem großen Unternehmen tätig war und daher mit dem Begriff Alpha gut vertraut ist.
In der Softwareentwicklungsphase wird normalerweise die Alpha-Version verwendet, um anzuzeigen, ob diese Version in der frühen Entwicklungsphase ist oder noch getestet werden muss. Sie dient hauptsächlich dazu, den grundlegenden Rahmen und die Entwicklungsrichtung zu überprüfen, wobei der Schwerpunkt darauf liegt, ob die Software normal funktioniert und die Hauptlogik korrekt ist.
Hat die Alpha-Plattform bei Binance jetzt auch diese Bedeutung? Lassen Sie uns einen Vergleich ziehen:
Ermöglichen Sie den Benutzern, die frühen Phasen des Projekts zu erleben. Wir wissen alle, dass einige Projekte in der frühen Phase Versionen bereitstellen, damit Benutzer die Funktionen testen können, wie z.B. zkSync, das vor dem Airdrop das Alpha Testnet angeboten hat. In gewissem Maße hat dies dem kalten Start des Projekts erheblich geholfen, da die Benutzerbasis von Binance sehr groß ist. In gewissem Maße haben wir auch als Tester des Projekts fungiert, und ein bisschen Airdrop ist doch nicht zu viel verlangt, oder?
Das Bereitstellen bestimmter hochwertiger Projekte hat ihnen die Möglichkeit gegeben, online zu gehen, was nicht nur die Benutzererfahrung fördert, sondern auch Liquidität bringt.
Benutzer erhalten Airdrops, indem sie durch die Teilnahme an der Erfahrung der Ökologie Liquidität bereitstellen.
2. Iteration der Versionen
2.1 Alpha 0.1 Version
Diese Version ist meiner Meinung nach eher darauf ausgelegt, die Menschen dazu zu bringen, Web3-Wallets zu verwenden. Deshalb nenne ich sie die 0.1 Version. Diese Version ist eher für alle zugänglich, sodass die Anforderungen an die Benutzer nicht hoch sind.

2.2 Alpha 0.2 Version
Diese Version hat eine Anforderung hinzugefügt, die im Vergleich zu Version 0.1 jedoch relativ niedrig ist; man benötigt nur 100 US-Dollar, um teilzunehmen.

2.2 Alpha 0.3 Version
Diese Version hat eine Anforderung hinzugefügt und beginnt allmählich, den Handel einzuführen. Zu diesem Zeitpunkt ist es jedoch immer noch nur erforderlich, Alpha-Token zu handeln, sodass es im Vergleich nicht viele Mengenbeschränkungen gibt.

2.2 Alpha 1.0 Version
Diese Version ist die, die wir jetzt gut kennen - die Punktekriegs-Version.

Nun lassen Sie uns über die Details der Version des Punktekrieges sprechen:
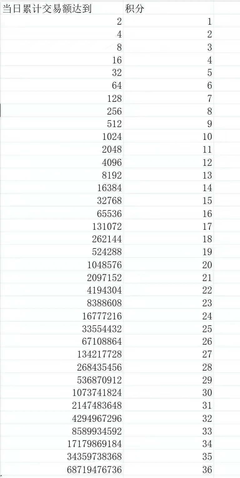
Die Punkte werden in einem Zyklus von 15 Tagen berechnet, sodass unsere Gesamtpunkte die Summe der Punkte in diesen 15 Tagen sind. Das ist interessant, denn wenn Sie heute nicht sammeln, könnten Sie möglicherweise in eine niedrigere Stufe fallen und die nächste Airdrop-Möglichkeit verlieren. Sie müssen bis zum nächsten Zyklus warten, um die Punkte wieder zu erhöhen, was die Benutzer dazu zwingt, jeden Tag am Punktesammeln teilzunehmen.
Wie setzen sich die Punkte zusammen? Die aktuellen Punkte setzen sich aus Ihrem Kontostand und Ihrem Handelsvolumen zusammen, die zusammengezählt werden, um Ihre Punkte für heute zu bestimmen.
Aktuell müssen Benutzer die Airdrops anfordern, was bedeutet, dass Punkte abgezogen werden müssen. Derzeit liegt dieser Wert normalerweise bei etwa 15 Punkten. Wenn Sie heute den Airdrop angefordert haben und Ihre Punkte erhöhen möchten, müssen Sie 32768 Punkte sammeln, aber der beste Handelsbereich liegt derzeit bei 16384 Punkten, was relativ wenig Abnutzung bedeutet.
BSC hat einen doppelten Handelsvolumenbonus, was bedeutet, dass unser derzeitiger Ankerbereich bei 16384 Punkten liegt. Das heißt, wir müssen nur ein Handelsvolumen von 8200 erreichen, was auch bedeutet, dass wir auf diese Weise Abnutzung sparen.
3. Persönliche Meinungen
Ich habe gesehen, dass viele Leute in der Gruppe sagen, dass sie beim Sammeln von Alpha Geld verdient haben, und sie denken daran, niedrig zu kaufen und hoch zu verkaufen. Paul möchte hier einen Hinweis geben: Warum wird diese Version Alpha genannt? Das bedeutet, dass die Liquidität usw. nicht stabil sein kann. Also lassen Sie sich nicht von kurzfristigen Gewinnen blenden. Warum sind wir hier? Wir sind hier, um Punkte zu sammeln, und nicht um zu traden. Wenn Sie traden wollen, gehen Sie zur Plattform, dort ist die Liquidität besser.
Hier sind einige persönliche Meinungen von Paul:
Wo findet man die offizielle Erklärung von Alpha: Öffnen Sie Ihre Binance-App -> Klicken Sie auf das Binance-Logo in der oberen linken Ecke -> Mehr Dienste -> Beratung -> Alpha-Aktivitäten.
Derzeit gibt es vier Handelswettbewerbe für Token: #B2 #myx #zkj #AIOT Während wir Punkte sammeln, können wir auch die aktuellen Handelsvolumenanforderungen einsehen, um zu überprüfen, ob wir Belohnungen erhalten können.
Bevor wir sammeln, müssen wir die Tiefe der Währung prüfen und herausfinden, ob die Liquidität gut ist. Wenn Sie sehen, dass diese Währung fällt, sollten Sie nicht sammeln, denn wir haben vier Optionen, und es ist unwahrscheinlich, dass alle vier fallen, oder?
Das größte Problem bei BSC ist, dass es viele Klippen gibt. Obwohl die offizielle MEV-Schutzmaßnahmen eingeführt hat, wird empfohlen, um die Stabilität unserer Vermögenswerte zu gewährleisten, nicht in großen Beträgen zu sammeln. Wir sollten mit 500 US-Dollar sammeln, selbst wenn wir mehrmals sammeln. Pauls Test mit 500 US-Dollar, um das 16384-Volumen zu sammeln, zeigt eine Abnutzung von 4-5 US-Dollar. Lassen Sie uns annehmen, dass es alle 15 Tage einen Airdrop gibt, das sind 60 US-Dollar. Derzeit sind alle, die Punkte sammeln, Gewinn bringend, also haben Sie keine Angst.
Der empfohlene Zeitpunkt für das Punktesammeln ist morgens zwischen 8 und 9 Uhr sowie abends zwischen 9 und 10 Uhr, da zu diesen Zeiten viele Menschen unterwegs sind und die Liquidität relativ hoch ist. Warum? Weil viele Menschen nicht Vollzeit Alpha sammeln können und nur die Gelegenheit nutzen können, um ihre täglichen Handelsaufgaben während des Aufstehens oder nach der Arbeit zu erledigen.